overleaf template galleryLaTeX templates — Recent
LaTeX templates for journal articles, academic papers, CVs and résumés, presentations, and more.

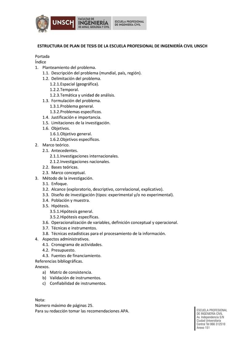
This LaTeX template provides a generic framework for creating academic documents such as research papers, technical reports, or project documentation. It includes features commonly used in academic writing, such as a title page with customizable fields for institution name, course details, topic, team members, and date. The template also includes sections for an introduction, tables, figures, and references, demonstrating proper formatting and usage of these elements. With adjustable margins and customizable styles, this template offers flexibility to suit various document requirements. It is suitable for use in a wide range of academic disciplines and can be easily adapted to specific formatting guidelines or journal requirements. This template is ideal for students, researchers, or professionals seeking a starting point for their academic writing projects.

A template for LaTeX submissions to Findings (https://findingspress.org)

A beamer teamplate with the theme of the University of Hong Kong (HKU)

四川大学的 Beamer 演示文稿模板,旨在为四川大学的师生提供一个简洁、美观且具有学校特色的演示文稿制作工具。包含三个校区的配图,以川大红为主要用色。

Wiley New Journal Design version 5 (NJD-v5): As of Feb. 12, 2024, you must set the compiler as XeLaTex or XeLaTex for compatibility with all the fonts; set Tex Live version as 2022; Tex Live version 2023 won't work.

LaTeX template for MSc/BSc/PhD theses of University of Tehran. قالب لاتک پایاننامه دانشگاه تهران پروژه گیتهاب: https://github.com/sinamomken/tehran-thesis

Gradu eta Master Amaierako Lanen eta Tesien Txantiloia Plantilla para Tesis y Trabajos Fin de Grado y Máster Bachelor, Master and Ph.D. Thesis template Euskal Herriko Unibertsitatea (UPV/EHU) Universidad del País Vasco (UPV/EHU) University of the Basque Country (UPV/EHU)

Template for use in internship reports, scientific reports, laboratory reports, etc. Highly modular

Latex Template for Dissertations in Ukrainian Language
\begin
Discover why over 20 million people worldwide trust Overleaf with their work.