overleaf template galleryLaTeX templates and examples — Recent
Discover LaTeX templates and examples to help with everything from writing a journal article to using a specific LaTeX package.

Example: Linear Regression with pgfplots

This popular visualization of the Porter Value Chain is a great example of how LaTeX can be used to produce striking, high quality formatting of simple objects such as tables. Originally posted as this answer on TeX StackExchange, we've pre-loaded the table into Overleaf to let you easily add your own content. Simply click the table to start editing online. Once you're done, you can insert the table into a longer LaTeX document, or download as a PDF for use as a standalone piece. If you're new to LaTeX, checkout the third part of our free online LaTeX course for more hints on creating presentations and drawings in LaTeX.

Rinton Press provides instructions and LaTeX templates for the preparation of articles and contributions to their journals, books and proceedings. We've pre-loaded the template & sample article for their Quantum Information and Computation Journal into writeLaTeX to help you get started - click above to open the template for immediate editing online. You can use writeLaTeX to create and edit your article ready for submission with nothing to install and no sign up required - simply click the image above to create your article. If you're new to LaTeX and would like to find out more, our free online LaTeX course covers all the steps you need to create a complete document with figures, tables and bibliography.

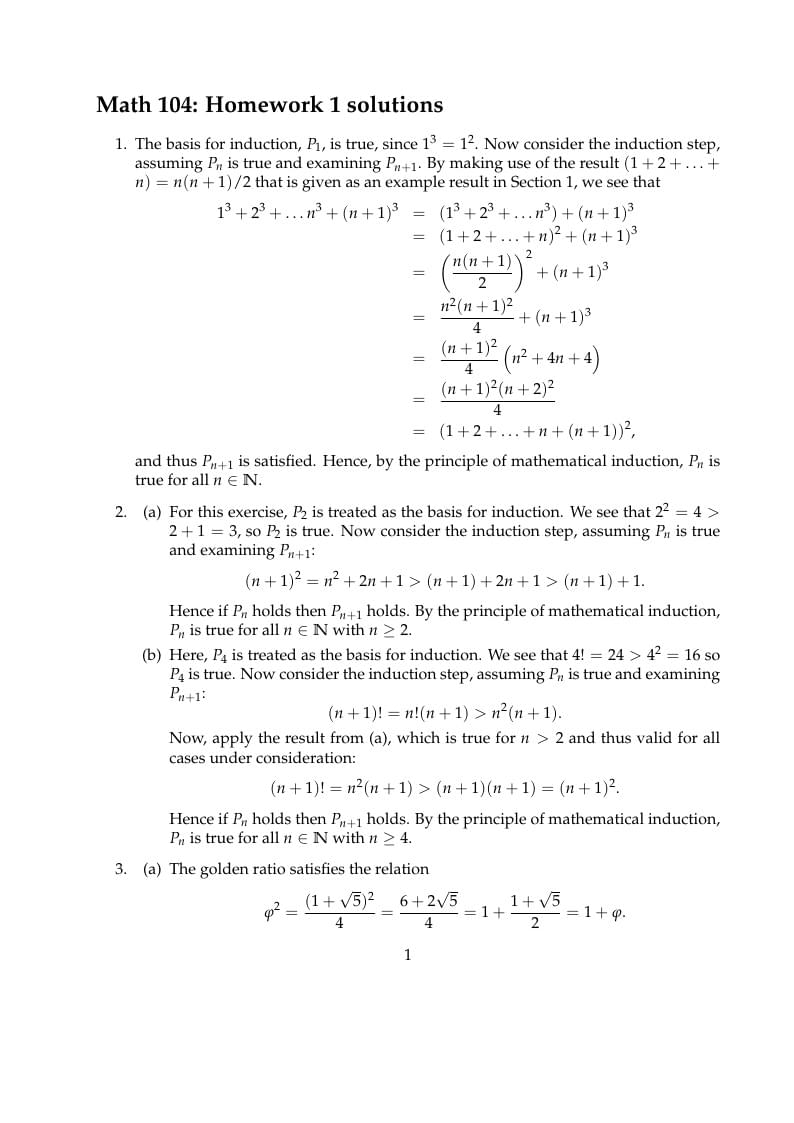
Simple homework template.

LaTeX isn't just for reports and papers - the powerful TikZ package can be used to create professional graphics and diagrams with only a few lines of text Here's the perfect example from TeXample.net that's pre-loaded in writeLaTeX for you to try out - just click to open & edit online instantly. For comments and discussions on this example, see the TeXample page. New to LaTeX and want to find out more? Our Interactive Introduction to LaTeX course is freely available online, and Part 3 gives some great tips for creating your own presentations and drawings. Check it out today!

Generating invoices is made easy with LaTeX. The invoice package created by Oliver Corff allows you to create a simple invoice with the minimum of code. We've loaded up an example template from Paul Asmuth's blog so you can give it a try with one-click - no sign up required!

A Russian poem demonstrating how to use Cyrillic fonts with UTF-8 encoding and the babel package.

Modelo para submissão de resumos para o XI ERMAC-RS.

A template for a penetration test report, based on the template by TCM Security.
\begin
Discover why over 25 million people worldwide trust Overleaf with their work.